大學辦公樓的中央空調水循環系統進行了全面的清洗,以下是清洗概述。
1.中央空調水系統結構概述
(1)制冷系統該中央空調制冷系統由壓縮機、冷凝器、節流裝置(膨脹閥和毛細管)和蒸發器四部分組成,在制冷管道內組成密閉系統,氟里昂在密閉系統內不斷循環流動,發生狀態變化與外界進行熱交換,流程圖如圖5-6所示。

(2)冷卻水系統空調冷卻水系統由儲水池、油冷器、冷凝器、涼水塔、補水管等組成,如圖5-7所示。水在冷凝器管程內流動,制冷劑在殼程外流動。進水水溫為32-35℃,出水水溫為42℃。儲水池在樓層底部,容積為18m3。油冷器的作用是將制冷壓縮機內的潤滑油降溫,防止溫度過高結焦。涼水塔在樓層頂部并設有一細補水管,由浮球閥進行自動給水控制。

(3)冷凍水系統空調冷凍水系統如圖5-8所示,由給水泵、蒸發器、加熱器、風機盤管等幾部分組成。空調的冷凍水設計溫度為2-8℃,由于結垢的原因,清洗前出水水溫為5-8℃,回水水溫5℃。一般來講,出水水溫<10℃基本就能滿足房間的制冷要求。加熱器在冬天的時候,通過蒸汽加熱可用于房間的供熱取暖。布置在各房間內的風機盤管由通風機和換熱排管組成,風機盤管的盤管由鋼管串鋼片組成,傳熱性好,冷熱兼用。夏季,風機盤管里面通以冷凍水可以作冷卻盤管,對空氣進行降溫去濕處理;冬季通過加熱器加熱的熱水可對室內循環空氣進行加熱處理。

2.垢樣分析
中央空調的冷水機組每次采樣測定的間隔不少于30d。
為了選擇合適的清洗液,對冷卻水機組、冷凍水機組進行了取樣分析,結果見表5-16。

經分析,初步確定冷凍水系統垢物主要為Fe2O3,Fe3O4,碳酸鹽垢及少量銅垢;冷卻水機組垢物主要為Fe2O3,Fe3O4,碳酸鹽垢及生物黏泥。
3.冷卻器清洗方法的選用
這里選用化學清洗法,因為手工法勞動強度大,機械法易損壞冷卻器的焊口和脹口,而且只適用于鋼制冷卻器,不適用于銅制冷卻器。化學清洗法操作簡單、方便、腐蝕率低、消除積垢最徹底,因此選用化學清洗法。
4.清洗液的配制
鹽酸不僅清洗效果良好,而且經濟實惠,鹽酸清洗機理見表5-17。

表5-17鹽酸清洗機理
由于冷卻器管程內管道為紫銅管,連接方式為焊接而非脹接,房間內換熱排管部分很細(12.7mm),管壁薄,鑒于此種情況,清洗液濃度配合比選在4%-5%(質量分數),清洗時間為6h,以免造成過洗或洗漏。為防止鍍銅現象的產生,可加入少量硫脲。
清洗液確定為鹽酸+緩蝕劑+硫脲。
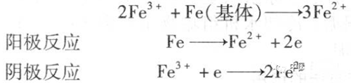
5.Fe3+在中央空調清洗中的應用
垢樣分析結果表明,中央空調垢物所含Fe2O3、Fe3O4占了很大的比例,隨著清洗時間的延長,清洗液中Fe3+含量會越來越多。由于Fe3+是一種良好的陰極去極化劑,當它被還原的時候,基體鐵也就被腐蝕下來,反應式如下所示:

由以上反應式可知,隨著反應時間的增加,Fe3+、Fe2+含量會越來越高,如圖5-9和圖5-10所示。

當Fe3+、Fe2+濃度趨于穩定時,可認為酸洗已基本結束。如果繼續進行下去,則Fe3+濃度又將升高,這時就產生了過洗現象。所以清洗中監測Fe3+濃度顯得很重要,當Fe3+>500mg/L時,適量添加一些還原劑SnCl2、Na2SO4等,以抑制基體鐵的腐蝕。Fe3+含量最高不得超過1500mg/L。通過分析檢測Fe3+,Fe2+含量,還可判斷在清洗過程中是否有過洗現象。
6.清洗時的注意事項
1)空調房間換熱排管管徑為12.7mm,一個回路同時串聯4-5個房間,清洗時易引起堵塞,給后續工作帶來麻煩,所以清洗系統設計時盡可能分成幾個部分,逐段清洗。
2)清洗冷凍水系統所用的耐酸泵為空調機房內的2臺給水泵,流量為100m3,揚程為34m,為避免造成死角,清洗時可交替使用,效果會更好。
3)空調房間內風機盤管最大的缺點是漏水。有些接頭存在的細微滲漏處被垢堵塞,當清洗液進入管道內同垢層接觸反應后很可能被沖通,清洗液將會滴在頂棚吊頂上,破壞了建筑物表面,影響美觀。因此,在清洗冷凍水系統時要求清洗人員加強檢查,經常巡視各房間,遇到泄漏及時處理。
7.清洗效果評價
此次清洗徹底清除了辦公樓中央空調內部的鐵銹、水垢及安裝期間余留的泥沙等懸浮物,解決了空調房間內換熱排管與風機盤管堵塞問題;維護了中央空調的正常運行,使其恢復了原有的風貌。
以上是關于高校辦公樓中央空調水系統清洗案例介紹,若想了解更多關于中央空調水系統清洗內容,歡迎關注安峰環保官網,謝謝。

公司電話:400-058-1098
公司傳真:0512-82175780
公司郵箱:service@anfengtech.com
公司地址:蘇州工業園區唯文路8號D棟